Headlines News :
Home » » Kota Makkah dan Misteri Bilangan Fibonacci

Kota Makkah dan Misteri Bilangan Fibonacci

Written By Unknown on Jumat, 01 Maret 2013 | 14.02

Inilah Keajaiban Segala Ciptaan Tuhan. Keterkaitan Kota Makkah dan Misteri Bilangan Fibonacci Yang ALLAH Ciptakan Didunia ini sungguh Luar Biasa

    Kota Makkah dan Misteri Bilangan Fibonacci

Jika kita mengukur jarak Kota Makkah ke arah Kutub Utara, diperoleh angka 7631.68 km, sedangkan jika ke arah Kutub Selatan, diperoleh angka 12348.32 km. Apabila kedua angka tersebut kita diperbandingkan :

12348.32 km / 7631.68 km = 1.618

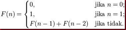
Angka 1.618 di dalam matematika, dikenal sebagai Bilangan Fibonacci, yang didefinisikan dengan rumus sebagai berikut:

fibonacci
Penjelasan:

Barisan ini berawal dari 0 dan 1, kemudian angka berikutnya didapat dengan cara menambahkan kedua bilangan yang berurutan sebelumnya.

Dengan aturan ini, maka barisan bilangan Fibonaccci diperoleh :

0, 1, 1, 2, 3, 5, 8, 13, 21, 34, 55, 89, 144, 233, 377, 610, 987, 1597, 2584, 4181, 6765, 10946…

Barisan bilangan Fibonacci dapat dinyatakan sebagai berikut:

Fn = (x1n – x2n)/ sqrt(5)

dimana :

Fn adalah bilangan Fibonacci ke-n

x1 dan x2 adalah penyelesaian persamaan x2-x-1=0

Perbandingan antara Fn+1 dengan Fnhampir selalu sama untuk

sembarang nilai n dan mulai nilai n tertentu, perbandingan ini nilainya tetap. Perbandingan itu disebut Golden Ratio (Rasio Emas) yang nilainya mendekati 1,618.

Fakta-Fakta Bilangan Fibonacci

1. Jumlah Daun pada Bunga (petals)

Mungkin sebagian besar tidak terlalu memperhatikan jumlah daun pada sebuah bunga. Dan bila diamati, ternyata jumlah daun pada bunga itu menganut deret fibonacci. contohnya:

21daunbe_sunbloodroot

jumlah daun bunga 3 : bunga lili, iris

jumlah daun bunga 5 : buttercup (sejenis bunga mangkok)

jumlah daun bunga 13 : ragwort, corn marigold, cineraria,

jumlah daun bunga 21 : aster, black-eyed susan, chicory

jumlah daun bunga 34 : plantain, pyrethrum

jumlah daun bunga 55,89 : michaelmas daisies, the asteraceae family

Ingin lihat buktinya? silahkan diamati beberapa gambar berikut :


2. Pola Bunga

Pola bunga juga menunjukkan adanya pola fibonacci ini, misalnya pada bunga matahari.

sunflower_pub
Dari titik tengah menuju ke lingkaran yang lebih luar, polanya mengikuti deret fibonacci.

3. Tubuh Manusia

golden_ratio01

Hubungan kesesuaian “ideal” yang dikemukakan ada pada berbagai bagian tubuh manusia rata-rata dan yang mendekati nilai rasio emas dapat dijelaskan dalam sebuah bagan umum sebagaimana berikut:Nilai perbandingan M/m pada diagram berikut selalu setara dengan rasio emas. M/m = 1,618


Contoh pertama dari rasio emas pada tubuh manusia rata-rata adalah jika antara pusar dan telapak kaki dianggap berjarak 1 unit, maka tinggi seorang manusia setara dengan 1,618 unit. Beberapa rasio emas lain pada tubuh manusia rata-rata adalah:

Jarak antara ujung jari dan siku / jarak antara pergelangan tangan dan siku,

Jarak antara garis bahu dan unjung atas kepala / panjang kepala,

Jarak antara pusar dan ujung atas kepala / jarak antara garis bahu dan ujung atas kepala,

Jarak antara pusar dan lutut / jarak antara lutut dan telapak kaki.

Hubungan Makkah dan Bilangan Fibonacci, dalam Al Qur’an


Jika jumlah seluruh huruf dalam QS. Ali Imran (3) ayat 96, yang berjumlah 47, dibagi angka Fibonacci 1.618, di dapat…

47/1.618 = 29

Dimana angka 29, merupakan jumlah huruf dari pangkal ayat sampai kepada kata Bakkah (Makkah)…

Sesungguhnya rumah (ibadah) pertama yang dibangun untuk manusia, ialah (Baitullah) yang di Bakkah (Makkah) yang diberkahi dan menjadi petunjuk bagi seluruh alam

(QS. Ali Imran (3) ayat 96)

Begitu Luar Biasanya Hubungan Antara Kota Makkah dan Misteri Bilangan Fibonacci . Lalu NIkmat Mana Lagi Yang Akan manusia Dustakan ?


Share this post :

Posting Komentar

 
Copyright © 2011. Berita Heboh Terkini - All Rights Reserved
Proudly powered by Blogger